BuildingGadgets.com

Errata

Complete Electronics Self Teaching Guide

Electronics Projects & Circuits

Suppliers

Datasheets

Discussion Forums

Tutorials and Information

Downloads

Supplemental Photos

Key to Your Schematics

Soldering SMDs

The Right Supplier

Speaking of Gadgets

Electronics Projects For Dummies:   

                    Project Updates   

All New Electronics Self Teaching Guide:   

                    Updates 

About Us 

Privacy Policy

Contact Us

Link to Us

Disclaimer

Visit our other Website

Understanding Nanotechnology

 

 

 

 

    

 

Errata for Complete Electronics Self-Teaching Guide

Page 17; Corrected Figure 1.5:

 

Page 18; Corrected Figure 1.6:

 

 

Page 27; Problem 30, Answer:

Page 150; Corrected Figure 4.10:

Page 151; Corrected Figure 4.11:

Page 169; Problem 33, Answer B:

Page 190; Problem 4:

Page 207:

Page 209; Answer 1B:

56.6 Vrms

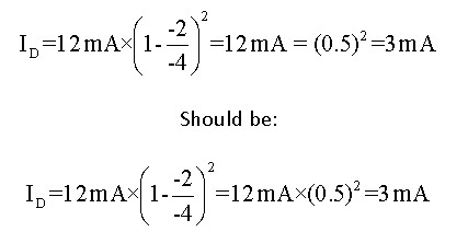
Should be:

56.6 mVrms

Page 246; Corrected Figure 6.34

Page 254; Problem 31, Answer A:

Page 303; Problem 24:

“a bandwidth of 80 kQ.”

Should read:

“a bandwidth of 80 kHz.”

Page 323; Problem 3A:

Page 325; Problem 6:

Delete the following sentence:

“Therefore, β is the slope of the line shown in the graph.”

Page 325; Problem 7:

“In region Z of the graph shown in Figure 8-2, β (that is, the slope of the graph) is constant.”

Should be:

“In region Z of the graph shown in Figure 8-2, β is constant (at a given temperature).”

Page 332; Problem 13, Answer A:

Page 363; Problem 32:

Page 364; Problem 33:

Page 365; Problem 35:

Page 365; Problem 36:

Page 369; Problem 42:

“recognizing that VRS = VGS

Should read:

“recognizing that VRS = |VGS|”

 

Page 446; Problem 13, Answer D:

Pout = VinIout = 24 × 0.5 = 12 watts (same as the power in)

Should be:

Pout = VoutIout = 24 × 0.5 = 12 watts (same as the power in)

Page 494:

“tecŠnician”

Should be:

“technician”

 

“tecŠnicians”

Should be:

“technicians”

Page 527; Parallel Resistance: